-
[Algorithm] Union - Find (์ ๋์จ ํ์ธ๋)๋?Algorithm 2020. 9. 6. 02:38๋ฐ์ํ
- ์ด ๊ธ์ (https://m.blog.naver.com/ndb796/221230967614) ๋ธ๋ก๊ทธ๋ฅผ ๋ณด๊ณ ์์ฑํ์์ต๋๋ค.
Union Find
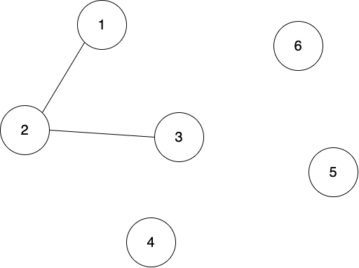
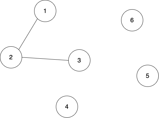
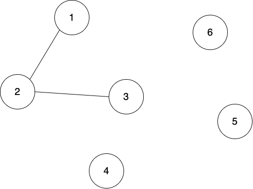
์ ๋์จ ํ์ธ๋๋ ๋ํ์ ์ธ ๊ทธ๋ํ ์๊ณ ๋ฆฌ์ฆ์ ๋๋ค. ์ฌ๋ฌ ๊ฐ์ ๋ ธ๋๊ฐ ์์ ๋ ๋ ๊ฐ์ง์ ๋ ธ๋ ํ๋์ ๊ทธ๋ํ๋ก ์ฐ๊ฒฐ๋์ด ์๋์ง ํ๋ณํ๋ ์๊ณ ๋ฆฌ์ฆ์ ๋๋ค.


๋จผ์ , ๋ฐฐ์ด์ ๋ง๋ค์ด์ ํด๋น ๋ ธ๋๋ฒํธ๋ก ๋ถ๋ชจ ๋ ธ๋๋ฒํธ๋ฅผ ๊ฐ๋ฆฌํค๊ฒ ํฉ๋๋ค. ์ฒ์์๋ ๋น์ฐํ ์ฐ๊ฒฐ๋ ๊ทธ๋ํ๊ฐ ์๊ธฐ ๋๋ฌธ์ ๊ฐ์ ์์ ์ ๋ ธ๋๋ฒํธ๋ฅผ ๊ฐ๋ฆฌํค๊ฒ ๋ฉ๋๋ค.


1๊ณผ 2๋ฅผ ์ฐ๊ฒฐํ๊ฒ ๋๋ฉด ํฉ์น๋ค๋ ๋ป์์ Union์ด๋ผ๊ณ ๋ถ๋ฅด๊ณ ๋ ธ๋๋ฒํธ ์ค ์์ ๋ ธ๋๋ฒํธ๊ฐ ๋ถ๋ชจ๋ ธ๋๊ฐ ๋ฉ๋๋ค.


์ด๋ ๊ฒ๋ง ๊ตฌํํ ๊ฒฝ์ฐ 2์ 3์ด ์ฐ๊ฒฐํ๊ฒ ๋๋ฉด ๋ถ๋ชจ๋ ธ๋๊ฐ 2๊ฐ ๋๋๋ฐ 1๊ณผ 3์ด ๊ฐ์ ๊ทธ๋ํ๋ก ์ฐ๊ฒฐ๋์ด ์๋์ง๋ ์ ์๊ฐ ์์ต๋๋ค. ๋ฐ๋ผ์ ์ฌ๊ทํจ์๋ฅผ ์ฌ์ฉํ์ฌ 3์ ๋ถ๋ชจ๋ ธ๋๋ 2์ด๊ณ 2์ ๋ถ๋ชจ๋ ธ๋๋ 1์ด๋ค ์ด๋ฐ๋ฐฉ์์ผ๋ก ๊ตฌํ์ ํด์ผํฉ๋๋ค. Find ํจ์๋ฅผ ๊ตฌํํ์ฌ ๋ถ๋ชจ๋ ธ๋๊ฐ ๊ฐ์ผ๋ฉด ๊ฐ์ ๊ทธ๋ํ๋ผ๊ณ ํ๋ณํ ์ ์์ต๋๋ค.
ํ์ ๊ตฌํํจ์
- getParent : ๊ฐ ๋ ธ๋์ ๋ถ๋ชจ๋ ธ๋ ๊ตฌํ๊ธฐ
- unionParent : ๋ ๊ฐ์ ๋ ธ๋ ํฉ์น๊ธฐ ( ๋ถ๋ชจ ๋์ผ)
- findParent : ๊ฐ์ ๊ทธ๋ํ๋ก ์ฐ๊ฒฐ๋์ด ์๋์ง ํ์ธ
- ์ถ๊ฐ๋ก ๊ถ๊ธํ ์ ์ด๋ ์์ ํ ๋ถ๋ถ ์์ผ๋ฉด ๋๊ธ๋ก ๋จ๊ฒจ์ฃผ์ธ์.
๋ฐ์ํ'Algorithm' ์นดํ ๊ณ ๋ฆฌ์ ๋ค๋ฅธ ๊ธ
[Algorithm] ๋ค์ต์คํธ๋ผ(Dijkstra) ์๊ณ ๋ฆฌ์ฆ (0) 2020.09.08 [Algorithm] Kruskal Algorithm(ํฌ๋ฃจ์ค์นผ ์๊ณ ๋ฆฌ์ฆ) (0) 2020.09.06